Mikroskopie von Seifenhäuten • Wie entstehen die Farben ? • Schritt 1

Begonnen von Schrodt, Juli 24, 2014, 10:23:43 VORMITTAG

Vorheriges Thema - Nächstes Thema

Schrodt

Liebe Mikrofreunde,
beim Mikroskopieren von Seifenhäuten kann man schöne Farben sehen.
In den nachfolgenden Ausführungen werden die optischen Zusammenhänge bei der Entstehung dieser Farbenspiele
in drei " verdaulichen " Schritten erklärt.
Die Unterlagen stammen aus meinem Seifenhaut-Vortrag bei der Arbeitsgemeinschaft Mikroskopie der NWV-Hagen
am 16.11.2013.
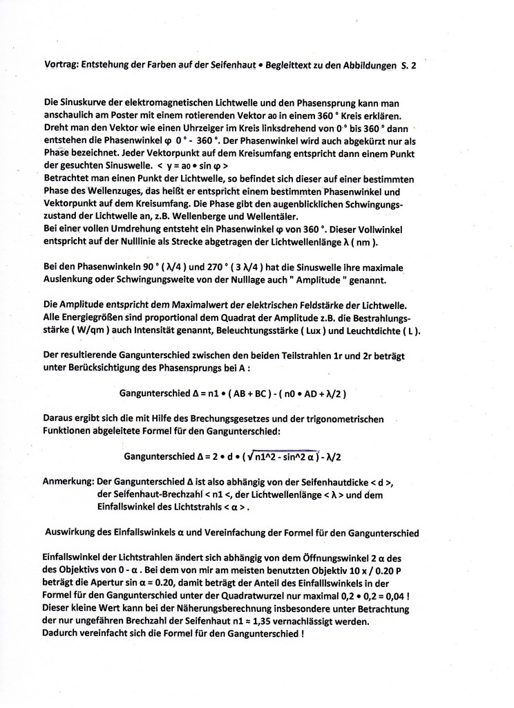
Schritt 1: Zweistrahlinterferenz, Lichtwelle und Phase, Lichtwelle und Gangunterschied
Schritt 2: Konstruktive-, destruktive- und unvollkommene Interferenz
Schritt 3: Verstärkung und Auslöschung von Spektralfarben, Entstehung der Interferenzfarben
Beste Grüße von Jürgen aus Hemer