Kann man die Brennweite von Zwischentubuslinsen selbst berechnen?

Begonnen von JB, August 28, 2012, 16:43:05 NACHMITTAGS

Vorheriges Thema - Nächstes Thema

JB

Hallo Forum,

In der Diskussion ueber die Leitz PLEZY Adapter (https://www.mikroskopie-forum.de/index.php?topic=8382.0) hat Christoph geschrieben, dass der PLEZY eine "Zerstreuungslinse mit einer Brennweite von etwa -1500 mm" besitzt.

Meine Frage ist, ob, und wenn ja wie, man solch eine Brennweite ausrechnen kann. Kann jemand dazu Hinweise geben?

Der Hintergrund meiner Frage ist, dass ich bei einem optischen Aufbau mehrere cm zusaetzliche mechanische Tubuslaenge einbauen musste. Die Bildqualitaet ist noch immer befriedigend, aber die Parfokalitaet der Objektive ist natuerlich verloren gegangen. Meine Idee waere eine Zerstreuungs-Zwischenlinse mit geeigneter Brechkraft in den Tubus zu setzen um dies auszugleichen (entsprechende negative meniscus lenses sind zu geringen Kosten zu haben). Die Brechkraft der entsprechenden Linse wird so gering sein, dass ich mir um dadurch eingebrachte Bildfehler sich sorgen muss (siehe PLEZY).

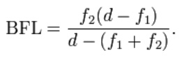
Wikipedia verweist hier auf folgende Formel:



mit BFL als Back focal length, f1, f2 als den beiden Einzelbrennweiten und d als Abstand zwischen den 2 Linsen. Bin ich da auf dem richtigen Weg? Das erscheint mir zu einfach.

Mit freundlichen Gruessen,

Jon

peter-h

Hallo,

das geht schon, aber es leidet die Bildqualität !
Hier ein einfacher Ansatz.
1.Bild eine Tubuslinse für f=160mm. Dann eine schwache negative Linse dazu und man bekommt (Schnittweite betrachten) rund 20mm mehr Abstand.
Aber !
Es werden fast alle Bildparameter gestört. Zudem gibt es eine Vergrößerung von 190,71 / 160 = 1,2
Ein achromatisches Glied wird etwas besser, aber sicher schwer zu beschaffen.




Viel Glück bei den Experimenten.
Peter

JB

Hallo Peter,

Danke fuer die Antwort. Tubusfaktoren um die 1.25x findet man ja haeufig bei Zwischentuben, das ist kein grosses Problem. Fraglich ist aber noch, wie ich die Brennweite der Zwischenlinse berechnen kann. Kann man aus der Graphik auch ablesen wie stark die Bildparameter gestoert werden?

Mit freundlichen Gruessen,

Jon

Werner

Hallo Jon!

Die Formel stimmt, mit dem Abstand kann man noch den Feinabgleich vornehmen (Die Gleichheit der zwei Strahlengänge wird in Militär-Entfernungsmessern genau auf diese Art abgeglichen).

Die "Bildparameter" werden wegen der kleinen Brechkraft und geringen Dicke der Linse nur wenig gestört, je kleiner die Brechkraft, umso weniger. Warscheinlich kann man eine Verschlechterung auf dem Foto gar nicht mal erkennen. Ich erinnere an die Nahlinsen von Fotoobjektiven, das sind auch nur schwache (dünne) Sammellinsen. Der Korrektionszustand des Hauptobjektivs wird nur unmerklich beeinflußt.
Schwache Achromate werden nicht gefertigt, die sind auch wegen des oben gesagten überflüssig.

Beim Brillen-Optiker gibt es Linsen in einer Stufung von 0,25 Dioptrien, auch in Plastik und entspiegelt. Er kann auch auf den passenden Durchmesser zuschneiden. Plastiklinsen kann man auch noch nachfeilen.
Ich hatte mir mal ein kleines Sortiment Plastiklinsen von +2 bis -2 Dpt für Korrektionswecke zugelegt.

Viele Grüße   -   Werner

peter-h

Hallo Jon,

um etwas konkreter zu werden, habe ich gerechnet. Dabei folgende Annahme:
1. als Tubuslinse ein Achromat von Edmund Optics GmbH mit f=150mm (Typ NT32-494) angenommen.
2. vom letzten Linsenscheitel der Zusatzlinse (Brillenglas) sollen ~20mm gewonnen werden.
3. ein einfaches Brillenglas aus BK7 mit -1 Dioptrin wird als Linse nach der Tubuslinse eingesetzt.

Sieht also im Schnitt so aus:

Der verkittete Achromat ist die Tubuslinse, nach 1mm Abstand das Brillenglas.

Nun die Fehler der Tubuslinse allein !


Mit Zusatzlinse zur Tubusverlängerung.


Der Öffnungsfehler bleibt praktisch unbeeinflußt. Koma und chromatische Korrektur verändern sich.
Auf Astigmatismus und Wölbung kann kein Einfluß genommen werden.
Ich hoffe dass das nun mehr Licht bringt.

Gruß
Peter

Werner

Hallo Peter!

Was für ein tolles Optikprogramm hast Du denn da?

Drehe das Brillenglas doch bitte mal um, dann mußte es etwas besser werden.

Gruß   -   Werner

peter-h

Hallo Werner,

das Programm habe ich vor vielen Jahren selbst geschrieben und für meine optimiert. War hauptsächlich für die Astrooptik mit sphärisch- und asphärischen Flächen und Spiegel gedacht. Funktioniert aber auch für alle sonstigen Fragen, incl. Spotdiagramm für 3 Wellenlängen.

Umgedreht sind die Fehler wieder etwas anders, aber ich will jetzt nicht alle zig Kombinationen durchjubeln. Die Lust dazu ist begrenzt.

Gruß
Peter

JB

Hallo,

@Werner

... an meinen Optiker habe ich da auch schon gedacht. Mal sehen ob er so kleine Linsendurchmesser schneiden kann.

Ich habe mal versucht ob ich so eine Rechnung hinbekomme. Als Uebung :) habe ich es fuer einen PLEZY durchgespielt. Benutzt habe ich die Formel in Wikipedia:
1/f = 1/f1 + 1/f2 - d/(f1f2) wobei ich annehme, dass f die Brennweite des Gesamtsystems ist (die Variablen sind dort nicht definiert).

f1 = 152 mm (Strecke vom Rueckens des Objektivs bis zur Zwischenbildebene beim Leitz 170 mm System)
d = 2 mm (Abstand des Rueckens des Objektivs zur PLEZY Linse (geschaetzt))
f = 160 mm (Strecke bis zur neuen Zwischenbildebene bei Benutzung des Adapters (152 mm + 8 mm))
f2: ist gesucht

Dann komme ich auf f2 = -3000 mm = -3 m oder -1/3 Dioptrie. Ob das wohl stimmt?


@Peter

Danke fuer die zusaetzlichen Berechnungen. Leider fehlt mir das notwendige Vorwissen um die Graphiken interpretieren zu koennen. Ohne Einheiten und ohne Achsen vermute ich mal, dass die farbigen Zahlen die Lichtwellenlaenge in nm sind, aber ansonsten ist es mir ein Raetsel ...

Die Fehler sind etwa 0.1% (am Bildrand?); wenn ein mikroskopisches Bild am 100x Achromat < 700x700 Pixel Information hat (http://www.microscopyu.com/tutorials/flash/pixelcalc/index.html), dann sind 0.1% weniger als 1 Pixel und somit gar nicht sichtbar?


Mit freundlichen Gruessen,

Jon

Werner

Hallo Jon!

Die Rechnung stimmt. Nur: die Brennweite ist vom Brennpunkt zur Hauptebene definiert. Bei einer dickeren Plan-Konvex-Linse (Achromat) liegt die eine Hauptebene im Linsenscheitel, die andere etwa 1/3 der Linsendicke vom Scheitel entfernt in der Linse.
In diesen Fall paßt das also glücklicherweise.
Tippe diese Formel mal einfach in Excel oder Calc, dann kannst Du mit den Werten spielen und siehst sofort, was bei Variationen passiert.

Vieler Grüße   -   Werner