Hauptmenü

Zuckerzeit konoskopisch

Begonnen von hinrich husemann, Dezember 01, 2011, 15:23:47 NACHMITTAGS

Vorheriges Thema - Nächstes Thema

hinrich husemann

 Bald kommen die süssen Tage. Hier konoskopisch zwischen gekreuzten Polfiltern.

   Objekt Zuckerkristall (Saccharose)
 
   Objektiv 6,3 / 0,16 Pol
   Objektiv 10  / 0,22 Pol
    Objektiv 25 / 0,60 Neofluar Pol
     Objektiv 40  / 0,85 Pol

Zeitgemäße bunte Mikrogrüsse
H. Husemann

Klaus Herrmann

Einfach süß, lieber Herr Husemann! :D

scheint 2-achsig in Diagonalstellung zu sein mit mittlerem Achsenwinkel. Olaf möge mich nicht zu sehr hauen, wenn ich falsch liege!
Mit herzlichen Mikrogrüßen

Klaus


ich ziehe das freundschaftliche "Du" vor! ∞ λ ¼


Vorstellung: hier klicken

hinrich husemann

#2
Lieber Herr Herrmann,
Sie haben natürlich recht. Zur Bestätigung Ihrer Vermutung noch ein älteres Bild, in dem beide Achsenpole sichtbar sind. Leider weiss ich die Numerische Apertur des Objektivs nicht mehr (ich will aber nochmal suchen); auch fehlt mir der Brechungsindex des Zuckers. Bei der praktisch symmetrischen Lage des Bildes könne man sonst den Achsenwinkel V durch Vermessen relativ einfach ganz gut näherungsweise ermitteln.



Freundliche Mikrogrüsse
H. Husemann

Vielleicht noch eine Anmerkung: Die Konoskopie-Bilder oben sind mit einer Sparlampe als Beleuchtung gemacht. Deren HG-Linien-Spektrum macht sich m. E. deutlich bemerkbar.

Nachtrag: Es war ein Objektiv 40/1,0 Öl. Sei d der Abstand zwischen den Polen, D der Durchmesser der Aperturblende; dann müsste gelten:                 n x sin (V/2) : NA(Obj.)  =  d / D  und damit  sin (V/2)  = (d/D) * NA(Obj.) / n
Durch Vermessung erhalte ich etwa  d / D  =  0,64 .  Setzt man für den Brechungsindex n einfach mal geschätzte 1,6 ein, ergibt sich sin (V/2) = 0,403 und damit V =  2*23,75°  =  47,5° . Hier also sollte V etwa liegen.

olaf.med

Lieber Herr Husemann,

hier sind die Daten von Zucker:

nD: nx = 1,5397, ny = 1,5667, nz = 1,5716, 2V =  48°

Gruß, Olaf
Gerne per Du!

Vorstellung: http://www.mikroskopie-forum.de/index.php?topic=4757.0

... und hier der Link zu meinen Beschreibungen historischer mineralogischer Apparaturen:
https://www.mikroskopie-forum.de/index.php?topic=34049.0

Klaus Herrmann

Lieber Herr Husemann,

2V =  48°


ZitatnD: nx = 1,5397, ny = 1,5667, nz = 1,5716, 2V =  47,5°

na als das nächste mal dann doch bitte etwas mehr Mühe geben mit den Bestimmungen! ;) ;) ;)
Mit herzlichen Mikrogrüßen

Klaus


ich ziehe das freundschaftliche "Du" vor! ∞ λ ¼


Vorstellung: hier klicken

hinrich husemann

Lieber Herr Herrmann,
nur um mit meinem Landsmann Altkanzler Gerd zu antworten: "Sachichdoch!"   ;D ;D ;D  (Ich habe nur V für den vollen Winkel; Herr Medenbach V für den halben Winkel gesetzt, was offenbar bei den Fachleuten üblicher ist)
Vielen Dank Herr Medenbach!
Freundlich süsse Mikrogüsse an Sie beide
H. Husemann

olaf.med

OK, OK,

ich habe die Werte nur abgeschrieben, morgen rechne ich sie nach der entsprechenden Formel durch und gebe den Wert auf 7 Nachkommastellen an (soviel zeigt der normale Taschenrechner und soviel geben die Studenten dann auch immer an!!!) ;D ;D. Prinzipiell sind solch genaue Angaben beim Achsenwinkel sowieso Quatsch, es sei denn, man mißt sie auch wirklich sehr genau mit einem Spindeltisch im konoskopischen Bild. Wenn die Leute anfangen aus ihren gemessenen Brechungsindizes 2V zu berechnen, erlebt man die tollsten Überraschungen. Dann werden schon mal Nachkommastellen angegeben, obwohl der Fehler bei +- 10° liegt!

Also, Herr Husemann, Ihr Wert war absolut Spitze, obwohl der mittlere Brechungsindex nur abgeschätzt war.

Herzliche Grüße,

Olaf
Gerne per Du!

Vorstellung: http://www.mikroskopie-forum.de/index.php?topic=4757.0

... und hier der Link zu meinen Beschreibungen historischer mineralogischer Apparaturen:
https://www.mikroskopie-forum.de/index.php?topic=34049.0

hinrich husemann

#7
Hallo Herr Medenbach,
danke, daß Sie mich vor ungerechtfertigten Nachkommastellen bewahren wollen!  ;D ;D ;D. Wie stand es doch früher (lang, lang ist es her) im noch älteren Küster-Thiel (Rechentafeln für die ...): Originalton Gauss: "Durch Nichts gibt sich mathematische Unbildung so zu erkennen wie durch maßlose Schärfe im Zahlenrechnen". Es waren doch noch die 4- oder ( 5-?) stelligen Logarithmen angegeben; und auch unser meist gebrauchter Rechenschieber (ich habe ihn auch noch) war nur 30 cm lang. Da kam man gar nicht in Verlegenheit..... (mußte aber immer die Größenordnung abschätzen, war alles noch echte Handarbeit!).
Spätabendliche, freundliche Mikrogrüsse
H. Husemann

olaf.med

Lieber Herr Husemann,

ZitatWenn die Leute anfangen aus ihren gemessenen Brechungsindizes 2V zu berechnen, erlebt man die tollsten Überraschungen. Dann werden schon mal Nachkommastellen angegeben, obwohl der Fehler bei +- 10° liegt!

Das bezog sich wirklich nicht auf Sie, und Sie haben es ja hoffentlich auch nicht so aufgefaßt. Ich wiederhole mich nochmals: Ihr Wert ist wirklich toll. Hier aber einmal ein Beispiel wie man es nicht allzu selten in der Literatur findet, vor allem, da die IMA Kommission für neue Minerale und Mineralnamen ja auch immer eine Angabe über 2V verlangt und die werden in der Regel berechnet, da die wenigsten Mineralogen heute noch in der Lage sind, diese genau zu messen (leider :( :( :(, denn oft kann man aus dem Achsenwinkel weitreichende Schlüsse ziehen).

Für ein neues Mineral (Olmiit) habe ich die Brechungsindizes zu nx = 1,663, ny = 1,672, nz = 1,694 bestimmt, alle Werte +- 0,002, wie es standardmäßig durchgeführt wird. Der berechnete Wert für den Achsenwinkel daraus ist 2Vx = 66°. Tatsächlich sind, im Rahmen dieses Meßfehlers, Werte zwischen 2Vx = 49° und 2Vx = 82° möglich. Der dierekt und sehr genau gemessenen Wert ist  2Vx = 71,8° +- 0,1°. Mißt man Minerale mit noch geringerer Doppelbrechung werden die berechneten Werte noch viel abenteuerlicher!!!

Mein persönliches Fazit: Traue niemals einem berechneten Achsenwinkel, sondern messe ihn selbst nach :)

Herzliche Grüße,

Olaf
Gerne per Du!

Vorstellung: http://www.mikroskopie-forum.de/index.php?topic=4757.0

... und hier der Link zu meinen Beschreibungen historischer mineralogischer Apparaturen:
https://www.mikroskopie-forum.de/index.php?topic=34049.0

Klaus Herrmann

Lieber Olaf,

ZitatDas bezog sich wirklich nicht auf Sie

da wir alle meinen speziellen Humor kennen und die Ikons das noch unterstrichen haben, wissen wir natürlich auch, dass deine Anmerkung allgemeiner Natur war und sich auf deine Erfahrungen mit deinen Studenten bezieht! ;)

mit fruchtsüßen Grüßen

Klaus
Mit herzlichen Mikrogrüßen

Klaus


ich ziehe das freundschaftliche "Du" vor! ∞ λ ¼


Vorstellung: hier klicken

olaf.med

Lieber Klaus,

natürlich habe ich Deine Anmerkung völlig richtig verstanden, konnte aber nicht widerstehen hier einmal etwas über das Thema "Berechnungen...." abzusondern ;D ;D.

Übrigens werde ich die kleinere Bringschuld heute expedieren, die größere muß noch etwas warten, da wirklich wichtige Terminarbeiten dazwischen gekommen sind.

Herzliche Grüße,

Olaf
Gerne per Du!

Vorstellung: http://www.mikroskopie-forum.de/index.php?topic=4757.0

... und hier der Link zu meinen Beschreibungen historischer mineralogischer Apparaturen:
https://www.mikroskopie-forum.de/index.php?topic=34049.0

hinrich husemann

Lieber Herr Medenbach,
zunächst mal: Ein mineralogisch nur noch begrenzt sehfähiges Huhn ;D ;D ;D (ein mineralogisches Praktikum für Nicht-Mineralogen - meist Chemiker - liegt schon ein halbes Jahrhundert zurück und war nur wenig mit Konoskopie durchsetzt) freut sich natürlich, auch mal ein "ordentliches" konoskopisches Korn  ;D ;D ;D gefunden zu haben.
Aber wenn das Korn nun mal nicht zufällig in nahezu idealer Regelstellung liegt? Dann müßte man m. E. doch wohl 3 Winkel messen: V1 und V2 der beiden Pole über deren jeweiligen Abstand zur Bildmitte und (direkt) den Winkel, den diese mit Letzterer aufspannen. Wird dann die Berechnung nicht etwas mühselig? Oder spart man sich diese Mühe lieber, indem man den Kristall mit U- oder Spindel-Tisch in ordentliche "Arbeitsgrundstellung" bringt?
Und wie berechnet man V nur aus den Brechungsindices? Wenn man sich auf drei fast gleich große Zahlen mit 4 signifikante Ziffern, die sich nur in den letzten beiden etwas unterscheiden und in der letzten noch auf +-2 unsicher sind, stützen muß, kann sicher nur sehr begrenzt Zuverlässiges dabei herauskommen.
Vielleicht misst ja, wer misst, nicht immer Mist.
Freundliche Mikrogrüsse
H. Husemann

olaf.med

Lieber Herr Husemann,

zunächst größten Respekt: nach so langer Zeit noch so viel Kristalloptik nach einem Kurs für Nichtmineralogen parat zu haben, spricht nicht nur für Sie, sondern auch für Ihre damaligen Lehrmeister!

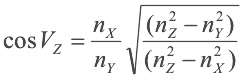
Meine Berechnung stützt sich auf den Zusammenhang von Brechungsindizes und 2V. Bei deiesen 4 Parametern ist jeweils einer abhängig, kann also aus den anderen 3 berechnet werden. Die Formel dazu lautet:



Die direkte Messung führe ich mit einem Spindeltisch durch. Eine Information dazu finden Sie hier:

http://homepage.rub.de/Olaf.medenbach/

Der Kristall wird genau orientiert, so dass beim Drehen um die Spindel die optischen Achsen direkt durch den Fadenkreuzmittelpunkt wandern. So kann man sie direkt nacheinander einstellen und der Winkel dazwischen entspricht genau dem Wert für 2V, wenn die Immersion in der Zelle dem Index von ny entspricht.

ZitatVielleicht misst ja, wer misst, nicht immer Mist.

Stimmt :) :) :) :)

Herzliche Grüße,

Olaf
Gerne per Du!

Vorstellung: http://www.mikroskopie-forum.de/index.php?topic=4757.0

... und hier der Link zu meinen Beschreibungen historischer mineralogischer Apparaturen:
https://www.mikroskopie-forum.de/index.php?topic=34049.0

hinrich husemann

#13
Zum Dank nur noch ein Griff in meine ältere, schwarz-weisse Zuckerdose (monochromat. grün 546 nm; NA = 1,0):


  Von der Normal- zur Diagonal-Stellung
                                                                                                              Freundlich gedrehte Mikrogrüsse
                                                                                                              H. Husemann